October, 15, 2019
2019 වසරේ දී දකුණු ආසියානු කලාපයේ ආර්ථික වර්ධන වේගය තරමක් දුරට මන්දගාමී වන බවත්, එය එළඹෙන වසරවල දී යථා තත්ත්වයට පත්වනු ඇති බවත් ලෝක බැංකුව පවසයි. දකුණු ආසියානු කලාපයේ මූර්ත දළ ජාතික නිෂ්පාදිතයේ වර්ධනය පිළිබඳ වාර්තාවක් ප්රකාශයට පත් කරමින් ලෝක බැංකුව මේ බව කියා සිටී.
මෙම ඇස්තමේන්තුගත කිරීම්වලට අනුව 2019 වසරේ දකුණු ආසියානු කලාපයේ ආර්ථික වර්ධන වේගය 5.9% ක් වේ. මෙය 2019 අප්රේල් මාසයේ දී පුරෝකථනය කළ ප්රමාණයට වඩා 1.1%ක පහළ යාමකි.
මෙම වාර්තාවට අනුව 2019 වසරේ දී මෙම කලාපය තුළ ඉහළම ආර්ථික වර්ධනයක් පෙන්නුම් කරනු ලබන රට වන්නේ බංග්ලාදේශයයි. එය 8.1%කි. නේපාලය 7.1% ක් හා ඉන්දියාව 6%ක් වශයෙන් මෙම ලැයිස්තුවේ පෙරමුණේ සිටින අනෙකුත් රටවල් වේ.
දකුණු ආසියානු කලාපයේ පහළම වර්ධනයක් තිබෙන රට බවට ලෝක බැංකුව ඇෆ්ගනිස්ථානය නම් කර ඇත්තේ 2019 වර්ෂයේ දී 2.5% ක ආර්ථික වර්ධනයක් අත්පත් කර ගනු ඇතැයි යන පුරෝකථනය තුළ සිටිමිනි.
ශ්රී ලංකාව මෙම ලැයිස්තුවේ ඇෆ්ගනිස්තානයට පමණක් ඉදිරියෙන් සිටිනුයේ 2.7% ක මූර්ත දළ ජාතික නිෂ්පාදික වර්ධනයක් ඇතිවය. මෙහි ඇති විශේෂත්වය වනුයේ 2018 වසරේ දී මෙම අගය 3.2% ක් ලෙසින් වාර්තා වීමත් පෙර වර්ෂයට සාපේක්ෂව ශ්රී ලංකාවේ ආර්ථික වර්ධන වේගය මෙම වසරේ දී අඩාල වී තිබීමත් හේතුකොට ගෙනය.
“ශ්රී ලංකාවේ වර්ධන වේගය 2019 දී සියයට 2.7 ක් දක්වා අඩුවනු ඇතැයි අපේක්ෂා කෙරේ. කෙසේ වෙතත්, පසුගිය වසරේ ආරක්ෂාව පිළිබඳ අභියෝග සහ දේශපාලන අවිනිශ්චිතතාවයන් පහවීමත් සමඟ ආයෝජන හා අපනයන යථා තත්ත්වයට පත්කිරීමේ සහාය ඇතිව එය 2020 දී 3.3% ක් සහ 2021 දී සියයට 3.7% ක් වනු ඇතැයි අපේක්ෂා කෙරේ“, යනුවෙන් ලෝක බැංකු වාර්තාවේ වැඩිදුරටත් සඳහන් වේ.
බංග්ලාදේශය 2018 වසරේ දී 7.9% ක් හා 2019 වසරේ දී 8.1% ක් ලෙසින් 8%කට ආසන්න ආර්ථික වර්ධනයක් අත්පත් කර ගැනීමට සමත්ව සිටී. එසේම එය 2020 දී 7.2% ක් හා 2021 දී 7.3% ක් ලෙසින් ලෝක බැංකුව පුරෝකථනය කර තිබේ.
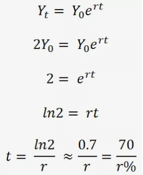
ආර්ථික විද්යාවේ එන ’70 නියමයට‘ (Rule of 70) අනුව යම් රටක් අඛණ්ඩව 7% ක ආර්ථික වර්ධනයක් ලබා ගැනීමට සමත් වන්නේ නම් එම රටේ ආර්ථිකය වසර 10 ක් තුළ දී දෙගුණයක් බවට පත්වනු ඇත. මේ අනුව නුදුරේදීම බංග්ලාදේශයේ ආර්ථිකය දෙගුණයක් වනු ඇත. ශ්රී ලංකාව සිටින්නේ 3% ක පමණ ආර්ථික වර්ධන වේගයක බැවින් මෙම 70 නියමයට අනුව ශ්රී ලංකාවේ ආර්ථිකය පවතින ප්රමාණය මෙන් දෙගුණයක් වීමට නම් වසර 23 ක කාලයක් ගතවනු ඇත.
මෙම 70 නියමය ගණනය කරනු ලබන ආකාරය පහතින් දැක්වේ. දකුණු ආසියානු කලාපයේ සියලූම රටවල ආර්ථික වර්ධන වේගය පිළිබඳ සටහන ඉහතින් දැක්වේ.


Video Story